数据结构之查找树选择题
数据结构之查找树选择题
单项选择题
01 对于二叉排序树,下面的说法中,( )是正确的。
A.
二叉排序树是动态树表,查找失败时插入新节点,会引起树的重新分裂和组合
B. 对二叉排序树进行层序遍历可得到有序序列
C.
用逐点插入法构造二叉排序树,若先后插入的关键字有序,二叉排序树的深度最大
D. 在二叉排序树中进行查找,关键字的比较次数不超过节点数的 $ $
答案:C
解释:
- A选项错误,二叉排序树插入新节点时不会引起树的分裂和组合。
- B选项错误,层序遍历并不能保证得到有序序列,只有中序遍历才可以。
- C选项正确,逐点插入法构造的二叉排序树,如果先后插入的关键字有序,则树会形成一条长链,此时深度最大。
- D选项错误,查找时关键字的比较次数可能超过节点数的一半。
02 按()遍历二叉排序树得到的序列是一个有序序列。
A. 先序
B. 中序
C. 后序
D. 层次
答案:B
解释:
中序遍历二叉排序树的特性决定了在遍历过程中,左子树的节点总是先于根节点,而根节点总是先于右子树的节点,因此得到的序列是有序的。
03 在二叉排序树中进行查找的效率与()有关。
A. 二叉排序树的深度
B. 二叉排序树的节点的个数
C. 被查找节点的度
D. 二叉排序树的存储结构
答案:A
解释:
查找效率主要取决于二叉排序树的高度,树的高度越小,查找效率越高。虽然节点的个数和存储结构也会影响查找效率,但关键因素还是树的深度。
04 在常用的描述二叉排序树的存储结构中,关键字值最大的节点()。
A. 左指针一定为空
B. 右指针一定为空
C. 左右指针均为空
D. 左右指针均不为空
答案:B
解释:
在二叉排序树中,关键字值最大的节点位于最右侧,其右指针一定为空。因为如果右指针不为空,则右指针指向的节点的值一定大于当前节点的值,导致当前节点不再是最大的关键字。
05 设二叉排序树中关键字由1到1000的整数构成,现要查找关键字为363的节点,下述关键字序列中,不可能是在二叉排序树上查找的序列是()。
A. 2, 252, 401, 398, 330, 344, 397, 363
B. 924, 220, 911, 244, 898, 258, 362, 363
C. 925, 202, 911, 240, 912, 245, 363
D. 2, 399, 387, 219, 266, 382, 381, 278, 363
答案:C
解释:
在二叉排序树中查找时,首先与根节点值进行比较,若相同则查找结束,若不同则根据比较结果继续向左或向右子树查找。根据二叉排序树的定义,左子树节点的值
≤ 根节点值 ≤ 右子树节点的值。
- 在C序列中,首先比较911(大于363),所以应转向911的左子树继续查找。此时,240的右子节点是912(大于911),这与二叉排序树的性质矛盾,因为911的左子树中不应该有大于911的节点。因此,C序列不可能是在二叉排序树上查找的序列。
06分别以下列序列构造二叉排序树,与用其他3个序列所构造的结果不同的是()。
A. (100, 80, 90, 60, 120, 110, 130)
B. (100, 120, 110, 130, 80, 60, 90)
C. (100, 60, 80, 90, 120, 110, 130)
D. (100, 80, 60, 90, 120, 130, 110)
答案:C
解释:
在构造二叉排序树时,节点的插入顺序决定了树的结构。通过分析各个选项的插入顺序,我们可以发现:
- A、B和D的插入顺序会导致相似的结构,因为这些序列会按照相同的逻辑插入节点。
- 但在C序列中,首先插入的60会作为100的左子树,而后面的80和90都将在60的右边,这会导致树的结构不同于其他选项。因此,C序列构造的结果与其他三个选项不同。
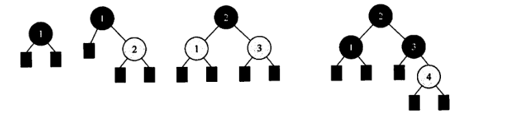
07 从空树开始,依次插入元素 52, 26, 14, 32, 71, 60, 93, 58, 24 和 41 后构成了一棵二叉排序树。在该树查找60要进行比较的次数为()。
A. 3
B. 4
C. 5
D. 6
答案:A
以第一个元素为根结点,依次将元素插入树,生成的二叉排序树如右图所示。进行查找时,先与根结点比较,然后根据比较结果,继续在左子树或右子树上进行查找。比较的结点依次为52,71,60。
08 在含有n个结点的二叉排序树中查找某个关键字的结点时,最多进行()次比较。
A. n/2
B. 10g(n)
C. log2(n) + 1
D. n
答案:D
解释:
在最坏的情况下,二叉排序树可能会退化为一条链表(例如,当插入的元素是有序的)。此时,在查找一个关键字时,可能需要比较所有的n个节点,因此最多需要进行n次比较。
9 构造一棵具有 $ n $ 个结点的二叉排序树时,最理想情况下的深度为()。
A. $ n/2 $
B. $ n $
C. $ _2(n + 1) $
D. $ _2(n + 1) $
答案:D
解释:
在最理想的情况下,二叉排序树是完全平衡的,即每一层都尽可能地被填满。此时,树的深度(或高度)是
\(\lceil \log_2(n + 1)
\rceil\)。这个表达式表示了树的最小深度,确保在包含 $ n $
个结点的情况下能够容纳这些结点。因此,正确答案是 D。
10 不可能生成如下图所示的二叉排序树的关键字序列是()。
A. \(4, 2, 1, 3, 5\)
B. \(4, 2, 5, 3, 1\)
C. \(4, 5, 2, 1, 3\)
D. \(4, 5, 1, 2, 3\)
答案:D
解释:
选项D中,插入1后,再插入2,2应作为1的右孩子结点,再插入3,3
应作为2的右孩子结点。故选D。选项D对应的二叉排序树如右图所示。
11 含有 20 个结点的平衡二叉树的最大深度为()。
A. 4
B. 5
C. 6
D. 7
答案:B
解释: 对于 AVL
树,最小的结点数与层数的关系可由以下递归关系给出:
- $ N(h) = N(h-1) + N(h-2) + 1 $
由递推公式可以得到构造20个结点至少需要6层。
12 具有 5 层结点的 AVL 至少有( )个结点。
A. 10
B. 12
C. 15
D. 17
答案:C
解释:
对于 AVL 树,最小的结点数与层数的关系可由以下递归关系给出:
- $ N(h) = N(h-1) + N(h-2) + 1 $
其中,$ N(h) $ 为高度为 $ h $ 的 AVL 树中至少有多少个结点。计算可以得到:
- $ N(1) = 1 $
- $ N(2) = 2 $
- $ N(3) = 4 $
- $ N(4) = 7 $
- $ N(5) = 12 $
所以,具有 5 层结点的 AVL 树至少有 12 个结点,因此答案为 B。
13 下列关于红黑树的说法中,不正确的是()。
A. 一棵含有 $ n $ 个结点的红黑树的高度至多为 $ 2 _2(n + 1) $
B. 如果一个结点是红色的,则它的父结点和孩子结点都是黑色的
C. 从一个结点到其子孙结点的所有路径上包含相同数量的黑结点
D. 红黑树的查询效率一般要优于含有相同结点数的 AVL 树
答案:D
解释:
红黑树和 AVL 树都是自平衡的二叉搜索树,但 AVL
树是高度平衡的,其在插入和删除时的旋转次数较多。因此,AVL
树在查询操作上的效率一般优于红黑树。选项 A、B 和 C
都是红黑树的正确特性。
14 下列关于红黑树和 AVL 树的描述中,不正确的是()。
A. 两者都属于自平衡的二叉树
B. 两者查找、插入、删除的时间复杂度都相同
C. 红黑树插入和删除过程至多有 2 次旋转操作
D. 红黑树的任一结点的左右子树高度之差不超过 2 倍
答案:C
解释:
红黑树的插入和删除过程可能需要多次旋转(通常在 2
次以上),特别是在某些情况下(如插入和删除后需要调整树的性质时)。因此,C
选项是不正确的。选项 A 和 B 是正确的,红黑树和 AVL
树都是自平衡的树,且在理论上它们的查找、插入和删除的时间复杂度都是 $
O(n) $,但 AVL 树在这些操作上的常数因子更小。D
选项描述的是红黑树的性质,也正确。
15 下列关于红黑树的说法中,正确的是()。
A. 红黑树是一种特殊的平衡二叉树
B. 如果红黑树的所有结点都是黑色的,那么它一定是一棵满二叉树
C. 红黑树的任何一个分支结点都有两个非空孩子结点
D. 红黑树的子树也一定是红黑树
答案:B
解释: 选项 B
是正确的,因为如果红黑树的所有节点都是黑色的,那么它实际上会是一个满二叉树。满二叉树的每一层都被填满,红黑树的性质确保了这样的结构。
- 选项 A 是错误的,红黑树是一种自平衡的二叉搜索树,但不严格符合所有平衡二叉树的定义。
- 选项 C 是错误的,因为红黑树的分支节点不一定都有两个非空孩子结点,叶子结点(没有孩子的结点)在红黑树中是允许的。
- 选项 D 也是错误的,因为虽然红黑树的子树可以遵循红黑树的特性,但并不是每个子树都能保持所有红黑树的性质,特别是关于高度和黑色节点数量的限制。
16 将关键字 1, 2, 3, 4, 5, 6, 7 依次插入初始为空的红黑树 T,则 T 中红结点的个数是()。
A. 1
B. 2
C. 3
D. 4
答案:B
解释:

17 将关键字 5, 4, 3, 2, 1 依次插入初始为空的红黑树 T,则 T 的最终形态是( )。
选项
18 下列二叉排序树中,满足平衡二叉树定义的是( )。
答案:B
根据平衡二叉树的定义有,任意结点的左、右子树高度差的绝对值不超过1。而其余3个答案均可以找到不满足条件的结点。
19 在下图所示的平衡二叉树中插入关键字 48 后,得到一棵新平衡二叉树,在新平衡二叉树中,关键字 37 所在结点的左、右子结点中保存的关键字分别是()。
A. 13, 48
B. 24, 48
C. 24, 53
D. 24, 90
答案: B
解释:
插入关键字 48 后,关键字 37 的右子结点将变为 48,因为 48 大于
37。根据平衡二叉树的性质,左子树中应保存小于 37 的关键字,而最接近 37
的关键字是 24。因此,关键字 37 的左、右子结点中保存的关键字分别是 24 和
48。
20 对下列关键字序列,不可能构成某二叉排序树中一条查找路径的是( )。
A. 95, 22, 91, 24, 94, 71
B. 92, 20, 91, 34, 88, 35
C. 21, 89, 77, 29, 36, 38
D. 12, 25, 71, 68, 33, 34
答案: A
解释:
在二叉排序树中,左子树结点值小于根结点,右子树结点值大于根结点。在选项A中,当查找到
91后再向
24查找,说明这一条路径(左子树)之后查找的数都要比91小,而后面却查找到了
94,因此错误,故选A。
21 若平衡二叉树的高度为 6,且所有非叶子结点的平衡因子均为 1,则该平衡二叉树的结点总数为()。
A. 12
B. 20
C. 32
D. 33
答案: B
解释:
平衡因子为 1 表示每个节点的左右子树高度差为
1。在这种情况下,构造的树将是最优的,即左子树的高度为 5,右子树的高度为
6。对于高度为 6 的树,其结点数计算公式为 \(C(n) = C(n-1) + C(n-2) +
1\)。经过计算可得,结点数为 20,因此答案为 B。
22 在任意一棵非空二叉排序树 T 中,删除某结点 v 之后形成二叉排序树 T2,再将 v 插入 T 形成二叉排序树 T。下列关于 T 与 T2 的叙述中,正确的是( )。
I. 若 v 是 T 的叶结点,则 T 与 T2 不同
II. 若 v 是 T 的叶结点,则 T 与 T2 相同
III. 若 v 不是 T 的叶结点,则 T 与 T2 不同
IV. 若 v 不是 T 的叶结点,则 T 与 T2 相同
A. 仅 I、III
B. 仅 I、IV
C. 仅 II、III
D. 仅 II、IV
答案: C
解释:
在一棵二叉排序树中删除一个结点后,再将此结点插删除的是叶了结点,则插入结点后的二叉排序树与删除之前的相同。若删除的不是叶子结点,则在插入结点后的二叉排序树会发生变化,不完全相同。
23 若将关键字 1, 2, 3, 4, 5, 6, 7 依次插入初始为空的平衡二叉树 T,则 T 中平衡因子为 0 的分支结点的个数是()。
A. 0
B. 1
C. 2
D. 3
答案: D
解释:
构建平衡二叉树(AVL树)的过程中,插入 1, 2, 3, 4, 5, 6, 7
后,树的结构会经过多次旋转以保持平衡。最终,平衡因子为 0
的分支结点个数为 3,这意味着这些节点的左右子树高度相等。
24 现有一棵无重复关键字的平衡二叉树 (AVL),对其进行中序遍历可得到一个降序序列。下列关于该平衡二叉树的叙述中,正确的是()。
A. 根结点的度一定为 2
B. 树中最小元素一定是叶结点
C. 最后插入的元素一定是叶结点
D. 树中最大元素一定是无左子树
答案: D
解释:
- A 错误:根结点的度不一定为 2,例如树只包含两个节点时,根结点的度为 1。
- B 错误:树中最小元素不一定是叶结点,最小元素可能有右子树。
- C 错误:最后插入的元素不一定是叶结点,因为可能发生平衡调整。
- D 正确:对于无重复关键字的平衡二叉树,最大元素一定在右子树中,且无左子树。
因此,正确答案为 D。
25 已知二叉排序树如下图所示,元素之间应满足的大小关系是( )。
答案: B
解释:
\(x_3<x_5<x_4\)
26 在任意一棵非空平衡二叉树 (AVL树) T 中,删除某结点 v 之后形成平衡二叉树 T2,再将 v 插入 T 形成平衡二叉树 T。下列关于 T 与 T 的叙述中,正确的是( )。
I. 若 v 是 T 的叶结点,则 T 与 T 可能不相同
II. 若 v 不是 T 的叶结点,则 T 与 T 一定不相同
III. 若 v 不是 T 的叶结点,则 T 与 T 一定相同
A. 仅 I
B. 仅 II
C. 仅 I、II
D. 仅 I、III
答案: A
解释:
- I. 如果 $ v $ 是叶结点,删除它可能不会影响树的结构,插入后可能导致树的形状变化,因此 T 和 T 可能不相同。
因此,正确答案为 A。
27 下列给定的关键字输入序列中,不能生成右边二叉排序树的是( )。
A. $ 4, 5, 2, 1, 3 $
B. $ 4, 5, 1, 2, 3 $
C. $ 4, 2, 5, 3, 1 $
D. $ 4, 2, 1, 3, 5 $
答案: B
解释:
B所生成的二叉排序树
28 给定平衡二叉树如下图所示,插入关键字 23 后根中的关键字是()。
A. 16
B. 20
C. 23
D. 25
答案:D






