编译原理习题CH3-4
编译原理习题CH3-4
3.4.1 给出识别练习 3.3.2 中各个正则表达式所描述的语言状态转换图。
在解决这个问题时,我们需要依次按照以下步骤构造状态转换图:
- 从NFA开始:首先构造非确定有限自动机(NFA)。这意味着我们需要定义一个NFA,其中可以有多个状态,并且在某些情况下会有多个可能的转换。
- 转换为DFA:接下来,将NFA转换为确定性有限自动机(DFA)。在DFA中,每个状态都有且只有一个可能的转换。
- 最少状态的DFA:最后,我们通过合并不可区分的状态,得到最少状态的DFA。不可区分的状态可以合并,从而减少DFA的状态数。
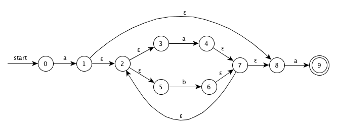
1. a(a|b)*a 语言的状态转换图
2. ((ε|a)b*)* 语言的状态转换图
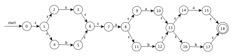
3. (a|b)*a(a|b)(a|b) 语言的状态转换图
NFA:
DFA:
| NFA | DFA | a | b |
|---|---|---|---|
| {0,1,2,4,7} | A | B | C |
| {1,2,3,4,6,7,8,9,11} | B | D | E |
| {1,2,4,5,6,7} | C | B | C |
| {1,2,3,4,6,7,8,9,10,11,13,14,16} | D | F | G |
| {1,2,4,5,6,7,12,13,14,16} | E | H | I |
| {1,2,3,4,6,7,8,9,10,11,13,14,15,16,18} | F | F | G |
| {1,2,4,5,6,7,12,13,14,16,17,18} | G | H | I |
| {1,2,3,4,6,7,8,9,11,15,18} | H | D | E |
| {1,2,4,5,6,7,17,18} | I | B | C |
4. a*ba*ba*ba* 语言的状态转换图
NFA:
本博客所有文章除特别声明外,均采用 CC BY-NC-SA 4.0 许可协议。转载请注明来自 Totoroの旅!
评论












